The Possible Connection of B[e] Supergiants With Luminous Blue Variables

The B[e] supergiant LHA 115-S 65 (in short: S65) in the Small Magellanic Cloud (SMC) is one of the most rapidly rotating B[e] supergiants known to date. Based on the photospheric absorption lines of neutral helium (HeI) in our high-resolution echelle spectra obtained with the FEROS instrument attached to the ESO 2.2m telescope in La Silla, Chile, we obtained a minimum projected rotational velocity (v sin i) of ~155 km/s, which corresponds to about 75% of its critical rotation velocity. This value compares farily well to the one obtained earlier by Zickgraf (2000). We can derive for this star only a minimum value, because the method used (based on the full-width at half maximum) is not capable to distinguish between velocities between 75% and 100% critical. It could thus well be that S65 is rotating close to critical.

The optical spectrum of S65 displays plenty of so-called shell lines, meaning that we see the system close to edge-on. In addition, forbidden emission lines of both neutral oxygen (OI) and singly ionized calcium (CaII) show double-peaked profiles which might indicate either (Keplerian) rotation or equatorial outflow. However, from a kinematical point of view, both scenarios, when seen close to edge-on, deliver undistinguishable line profiles, as is shown exemplarily in the following figure: To the left we have a ring of material moving outwards with a constant velocity of 30 km/s, and to the right we have a ring of material rotating with a velocity of 30 km/s. Both scenarios deliver the identical line profile.


To distinguish between these two competing scenarios (rotating disk versus outflowing wind), we performed detailed, self-consistent and simultaneous line luminosity and line profile calculations for the [OI] lines. While the profiles provide us with the complete kinematical information of the emitting gas, the line luminosities (and especially the ratio λ6300/λ5577 of the [OI] lines) deliver the information about the density and temperature structure.

The outflowing disk scenario

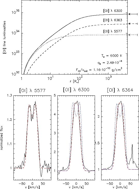
From the λ6300/λ5577 line ratio of the [OI] lines we obtained constraints on the temperature, ionization fraction within the disk/outflow, and the density parameter given by the ratio of the mass flux over the outflow velocity. Armed with these parameters, we could model the radial increase in the [OI] line luminosities and compare them with the observationally obtained values. The line luminosities as shown in the top panel of the following figure saturate at some distance from the star. Obviously, for the λ5577 line, this happens close to the star at a distance of roughly 20-30 stellar radii, while the other two lines (λ6300 and λ6364) saturate only at distances beyond 400 stellar radii. The observed values are indicated by the arrows to the right.


The different distances at which the lines saturate indicate that the lines are formed in regions of different densities with the λ5577 line being formed at (much) higher densities than the other two lines. Consequently, different lines should also trace different kinematical regions as obvious from their line profiles (shown in the lower panels of the above figure). But the interpretation of these line profiles is not straightforward because a pure outflow model with a wind velocity of about 22 km/s will perfectly fit the profile of the λ5577 line, but fails to fit the profiles of the λ6300 and λ6364 lines (shown by the blue lines). In order to fit also their line profiles, we need to request a slow-down of the outflow velocity to a value of about 16 km/s at large distances. Though not unrealistic, the higher velocity at smaller distances from the star seems to be in better agreement with Keplerian rotation rather than with an outflow scenario.

The Keplerian rotating disk scenario

The clearly double-peaked profile of the λ5577 line, which originates in high-density regions and hence closer to the star than the λ6300 and λ6364 lines, seems to indicate that the emission region could be rotating on Keplerian orbits. To test this scenario, we first determined the possible rotation speeds from the peak separations. In the outer parts of the disk, the rotation could be as low as 5 km/s, meaning that the outer edge of the line-forming disk region must be around 3000 stellar radii. The inner edge, on the other hand, must be at about 90 stellar radii, delivering a Keplerian rotation speed of 30 km/s (under the assumption of a current mass of the star of about 35 solar masses). The resulting line luminosity increase over the disk and the line profile fitting are shown in the following figure. While the λ6300 and λ6364 lines can be nicely fit, the situation is different for the λ5577 line (shown by the blue line). In order to obtain a reasonable fit also for this line (plotted in red), we must postulate an additional outflow component which amounts to about 9 km/s at the inner edge of the disk and is less than 2 km/s (hence not influencing the line profiles) at the outer edge.


If the observed [OI] lines result indeed from a (quasi-)Keplerian rotating disk, the question arises whether this disk extends down to the stellar surface, or whether the material is detached from the stellar surface. If the disk extends down to the surface of the star, the disk parts between the stellar surface and the inner edge of the [OI] line forming disk region should consequently be ionized. In that case, we would expect to observe line emission from [OII]. To estimate the strength of, e.g., the strongest expected line at λ7319, we computed its luminosity and profile and compared it to the weakest [OI] line seen in our data, which is the λ5577 line. The result is shown in the following figure.


The [OII] λ7319 line should be much broader and about 5 times more intense as the λ5577 line. The fact that we could not identify any [OII] line in our spectra could then indeed indicate that if the Keplerian rotating disk scenario is the correct one, the material must be detached from the star, i.e. it must be a ring rather than a disk.

Outflow versus rotation ?

It seems that both the outflowing disk and the Keplerian rotating disk model can provide a plausible scenario for the neutral material around S65. Hence, additional tracers in favor of one over the other model are needed. And indeed, supporting kinematical arguments are found from both the symmetric, unshifted forbidden emission lines and from the sharp absorption components. The former lines all have small full-width at half maximum values indicating that they are formed near but beyond the [OI] lines. This can easily be explained by the rotating disk model, because the lines arise from ions with much lower ionization potential than OI, and hence from regions of lower temperature (further away from the star). There the rotation velocity is too small to cause an observable peak separation in the profiles.
Even stronger support comes from the sharp absorption components of the shell lines. They can be used to extract the information on the radial velocity structure, because these lines involve absorption of the photospheric flux throughout the whole disk. The measured full-width at half maximum values of these sharp absorption components is plotted versus their displacements with respect to the line center of the emission line in the following figure.


From this plot we can draw the following conclusions: (i) All absorption components are blueshifted, meaning that those disk parts in which the absorption happens show a slow outflow ranging from 0 to about 5 km/s. These low outflow components agree well with those found from the [OI] lines. (ii) The full-width at half maximum velocities of the absorption components range from about 6 to about 13 km/s. Interpreting them with the rotation velocity of the disk, the bulk of the absorption happens at rotation velosities between about 3 and 6.5 km/s. (iii) There seems to be a slight trend towards slower outflow for lower rotation velocities as indicated by the dashed line. In that respect it is also interesting to note that this trend is also seen when comparing the results for FeII with those of the FeI lines. This trend would be logical, because we expect an outwards decreasing ionization structure in the disk.

The connection with LBVs

B[e] supergiants are often discussed in connection with LBVs. This is certainly because both groups are evolved massive stars that share about the same region in the empirical Hertzsprung-Russell diagram (HRD), meaning that both groups of stars must have evolved from progenitor stars with about the same initial mass. Furthermore, many LBVs show indications for disk or ring-like structures of their circumstellar material and nebulae similar to what we know from B[e] supergiants. Morphological studies of LBV nebulae imply that the slow and dense wind arises mainly from the equatorial regions. And as for the B[e] supergiants, rapid stellar rotation is thought to play a major role in triggering this non-spherical mass-loss. The question that arises is thus whether LBVs and B[e] supergiants could be evolutionary linked.

It seems that S65 is a good candidate for such a study. First, it is surrounded by a ring-like structure of high-density, neutral material. Second, the small outflow velocity as derived from the absorption components fits perfectly to the known outflow velocities of LBV nebulae. Also the gas mass (for which we can only derive a lower limit though) falls into the range of masses obtained for LBV nebulae, and, last but not least, the extremely high stellar rotation speed (close to critical) agrees well with the values of LBVs during their visual minimum phase.

Groh et al. (2009) recently defined an LBV minimum-instability strip, which indicates the position in the HRD at which critical rotation for LBVs is expected. This strip is shown by the dashed line in the following plot. To the left of the instability strip is the physically unstable region for LBVs. The positions of S65 and of two Galactic LBVs, namely AG Car and HR Car, which are found to have rotation velocities in excess of 85% of their critical rotation during their visual minimum phase, are indicated.


We cannot conclusively answer whether S65 indeed belongs to the class of LBVs, especially because a star is called an LBV only after a giant eruption and the typical S Dor variability has been recorded. However, there is ample evidence like the rapid rotation, the close vicinity to the LBV instability strip, as well as the similar disk mass and outflow velocity that all hint towards a connection between S65 and the LBVs.

Related publications :

  • Kraus, Borges Fernandes, de Araújo, 2010, A&A, 517, A30

  • Back.

    Last modified 27.1.2011